Header

Header

Header

2'-O-NMA Oligonucleotide Synthesis

Custom 2'-O-NMA modified oligonucleotides for advanced sugar-modified nucleic acid design programs.

Bio-Synthesis supports custom 2'-O-NMA oligo synthesis for specialized modified oligonucleotide projects where advanced sugar architecture, sequence design flexibility, and project-specific chemistry support are important.

Overview

2'-O-NMA oligonucleotide synthesis supports the synthesis of advanced sugar-modified oligonucleotides containing a 2'-O-NMA substitution at selected positions within an oligo sequence. In the literature, 2'-O-NMA has been evaluated as a specialized 2'-ribose modification in antisense oligonucleotide design and is often discussed in the broader context of next-generation sugar-modified RNA mimics and splice-switching oligonucleotides.[1], [2]

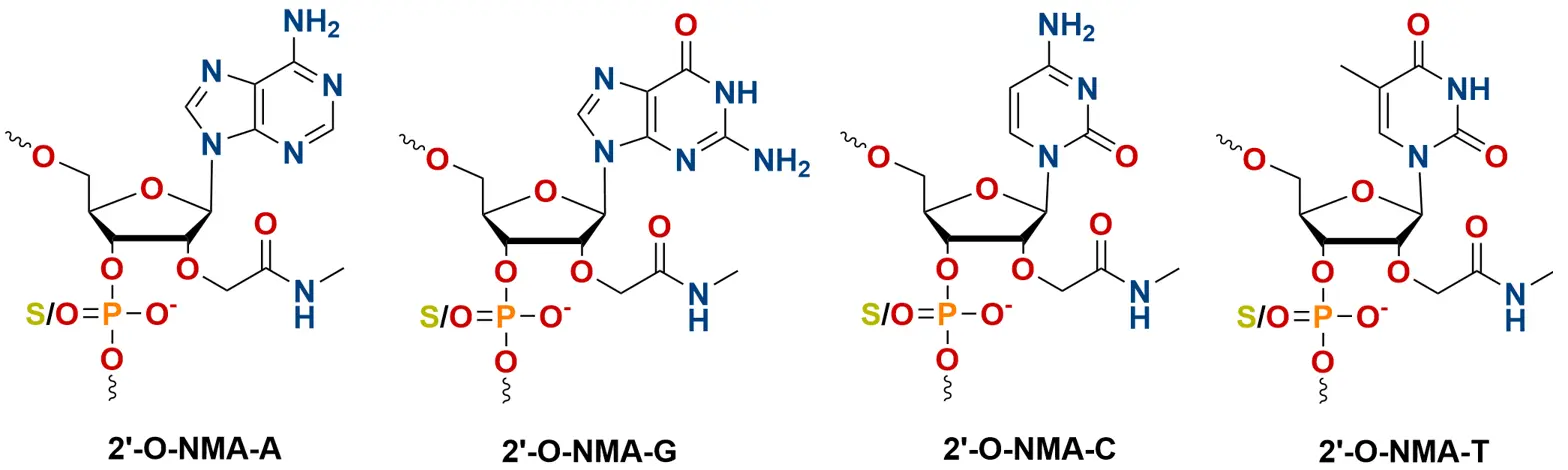
2'-O-NMA modification across A, U, G, C nucleobases
Figure: Representative schematic of 2′-O-NMA modification across nucleobases (A, U, G, C).

2'-O-NMA belongs to the category of specialized 2'-sugar modifications, where structural tuning at the ribose 2'-position is used to explore oligonucleotide behavior, architecture, and fit within a custom design program. Broader reviews of oligonucleotide therapeutics provide useful context for how 2'-sugar modifications fit alongside established chemistries such as 2'-OMe, 2'-MOE, LNA, and phosphorothioate backbones.[3], [4]

2'-O-NMA represents an emerging class of ribose modification currently under active investigation in next-generation antisense and RNA-targeting oligonucleotide design.

Bio-Synthesis supports 2'-O-NMA modified oligo synthesis as part of its broader expertise in advanced oligonucleotide chemistries, including custom backbone, sugar, and stereochemical modification strategies. If your desired chemistry or modification pattern is not listed, please contact us to discuss your project.

Note: Selection of 2'-modification strategy is typically dependent on sequence context, target biology, and overall oligonucleotide design objectives.

ISO 9001:2015 / ISO 13485:2016 45+ Years of Expertise U.S.A. Facilities-Texas GLP/GMP-Aligned 2'-O-NMA Advanced Sugar Modification Modified Nucleic Acid Synthesis Custom Oligo Chemistry Project-Specific Design
Bio-Synthesis supports advanced chemistries of various kinds. If your required modification pattern, mixed chemistry design, or custom oligo format is not specifically listed, contact us for project review and feasibility discussion.

Key features of 2'-O-NMA Oligo Synthesis

2'-Position Modification Sugar Architecture Custom Placement

Advanced 2'-Sugar Modification

Specialized ribose design with controlled sequence placement.

2'-O-NMA modifications are incorporated at selected positions within an oligonucleotide sequence to support advanced sugar-modified oligo design and custom structural tuning.

Sequence-Specific Project-Driven Optimization Support

Design Flexibility

Sequence-specific planning for exploratory optimization.

2'-O-NMA may be used in exploratory or optimization-stage projects where the objective is to evaluate how specific sugar modifications contribute to the overall oligonucleotide design strategy.

Mixed Modification PS-Compatible Custom Architecture

Compatibility with Mixed-Chemistry Designs

Backbone, sugar, and stereochemical combinations as needed.

Depending on project design, 2'-O-NMA modifications may be combined with phosphorothioate backbones, additional sugar modifications, or other specialized chemistry elements to build tailored oligo architectures.

Design considerations

Modification Placement

Define which positions in the oligo sequence require 2'-O-NMA substitution and whether the design is fully or partially modified.

  • Single-position or multi-position placement
  • Sequence-specific design planning

Mixed Chemistry Strategy

Consider whether 2'-O-NMA will be used alone or alongside other backbone or sugar modifications.

  • PS backbone options
  • Additional sugar modification integration

Application Fit

Project objectives help determine whether 2'-O-NMA is appropriate for exploratory research, assay design, or advanced oligo development.

  • ASO and modified oligo studies
  • Custom development-stage workflows
Tip: If you are unsure where to place 2'-O-NMA modifications, share your sequence, intended application, and any related modification strategy so the chemistry plan can be reviewed in the context of your project.

Workflow: From Design to Delivery

1) Define the Sequence

Confirm the base sequence, desired 2'-O-NMA placement, and whether other modifications are required.

2) Select Chemistry Strategy

Determine whether the design is fully modified, partially modified, or combined with additional advanced chemistry elements.

3) Synthesize & Confirm

Perform custom synthesis, purification, and fit-for-purpose analytical confirmation aligned to the research objective.

Fastest quoting tip: Share the sequence, exact 2'-O-NMA positions if known, any other requested modifications, quantity or scale, purity target, and intended use.

Applications

Advanced antisense design

2'-O-NMA may be considered in antisense or modified oligo programs evaluating custom sugar architecture within a broader design strategy.

SAR and optimization studies

Useful for projects exploring how alternative sugar modifications fit into structure-activity or development-stage optimization workflows.

Custom modified oligo development

Relevant for specialized nucleic acid constructs where common DNA, RNA, or standard sugar modifications are not sufficient.

Integration with Advanced Oligo Chemistries

2'-O-NMA modified oligos may be integrated into broader advanced chemistry programs depending on project design and feasibility.

Chemistry Element Potential Integration Value Project Note
Phosphorothioate backbone Can be combined in mixed-modification oligo designs Sequence-specific feasibility review may be needed
Additional sugar modifications Supports broader custom architecture planning Placement pattern should be defined clearly
Chiral or stereodefined elements May be considered in advanced optimization programs Applicable when broader chemistry control is part of the objective
Custom conjugation or labeling Can support downstream specialized workflow needs Handled case by case based on construct design

Comparison of 2'-Modified Oligonucleotide Chemistries

The 2'-position of the ribose sugar is a common site for oligonucleotide modification, enabling changes in hybridization behavior, structural properties, and overall design strategy. The table below places 2'-O-NMA in context with several widely used 2'-modified oligonucleotide chemistries.

Modification Chemical Feature Binding Affinity Nuclease Stability Flexibility Typical Use
2'-O-NMA Amide-containing 2'-O substitution Moderate–High High Moderate Emerging ASO design, SAR studies, and advanced optimization programs
2'-O-Me Methoxy substitution at the 2' position Moderate Moderate–High High siRNA, antisense, and general oligo stabilization
2'-F Fluorine substitution High High Low siRNA and duplex stabilization
2'-MOE 2'-O-methoxyethyl substitution High High Moderate Clinically established antisense chemistry
LNA / BNA Conformationally constrained or bridged sugar architecture Very High Very High Low High-affinity probes, ASO gapmers, and duplex stabilization
2'-OMe + PS 2'-O-Me with phosphorothioate backbone Moderate–High High Moderate Standard antisense and RNA-targeting designs
UNA Acyclic or unlocked ribose structure Low Low–Moderate Very High Fine-tuning duplex flexibility and local structure

Note: These descriptors are generalized, design-oriented comparisons. Actual behavior depends on sequence context, backbone chemistry, placement pattern, and experimental conditions.

Quality & Deliverables

Analytical Confirmation

  • Analytical HPLC or UPLC purity profile
  • LC-MS identity confirmation when applicable
  • COA and fit-for-purpose documentation

Purification Strategy

  • Purification aligned to project goals
  • Handling based on modified oligo requirements
  • Research-stage deliverable planning

Project Support

  • Sequence and modification review
  • Custom chemistry feasibility discussion
  • Support for unlisted advanced formats

FAQ

What is 2'-O-NMA oligonucleotide synthesis?
It is the preparation of oligonucleotides containing 2'-O-NMA modifications as part of advanced sugar-modified oligo design programs.
Why use 2'-O-NMA modifications?
2'-O-NMA may be considered when a project requires a specialized sugar modification or a custom modified nucleic acid design approach.
Can 2'-O-NMA be combined with other modifications?
Yes. Depending on the project, 2'-O-NMA may be incorporated alongside backbone, sugar, or stereochemical modifications in mixed-chemistry designs.
What do you need for a quote?
Share the sequence, requested 2'-O-NMA positions, any additional modifications, scale, purity target, and intended application.

Contact & Quote Request

For the fastest quote on 2'-O-NMA oligonucleotide synthesis, share your sequence, requested modification pattern, any additional chemistry requirements, quantity or scale, purity target, and application context.

Fast quote checklist

  • Sequence and requested 2'-O-NMA positions
  • Any additional backbone or sugar modifications
  • Scale, purity target, and delivery requirements
  • Application and timeline constraints

Fastest path

Recommended Reading & Literature References

Selected references for 2'-O-NMA chemistry and the broader oligonucleotide-modification context. These citations are provided for scientific background and design context rather than product-performance claims.

  • Freier, S. M. et al. Comparing in vitro and in vivo activity of 2'-O-[2-(methylamino)-2-oxoethyl]- and 2'-O-(2-methoxyethyl)-modified antisense oligonucleotides. J. Med. Chem. 2008. Europe PMC
  • Bennett, C. F.; Rigo, F. Enhanced splicing modulation by NMA-modified antisense oligonucleotides. bioRxiv 2025. DOI
  • Manoharan, M. Chemistry, structure and function of approved oligonucleotide therapeutics. Nucleic Acids Research 2023, 51(6), 2529-2573. DOI
  • Antisense oligonucleotides: A promising advancement in treatment for neurodegenerative diseases. Pharmacological Research 2025. ScienceDirect
  • Bio-Synthesis Technical & Educational Warehouse. 2'-O-NMA phosphoramidites enable the synthesis of RNA mimics useful for antisense therapeutics. 2023. Article
Note: The NMA-specific literature base is still smaller than the literature base for more established oligonucleotide chemistries. For that reason, recent NMA-focused papers are best read together with broader reviews on antisense and oligonucleotide therapeutic chemistry.

Why Choose Bio-Synthesis

Trusted by biotech leaders worldwide for over 45+ years of delivering high quality, fast and scalable synthetic biology solutions.